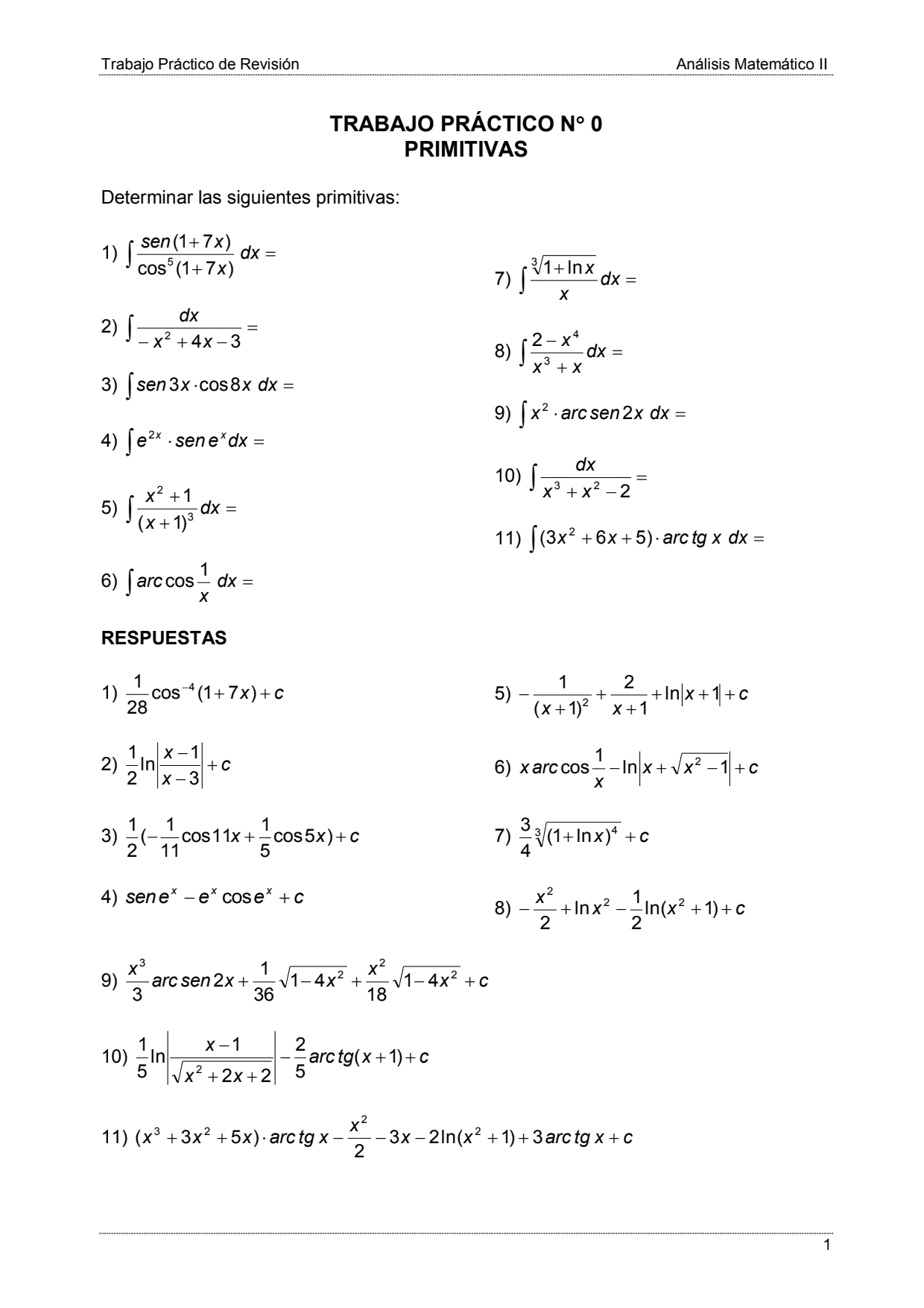
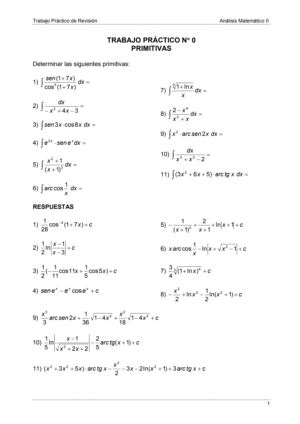
Integrales definidas
(2025)
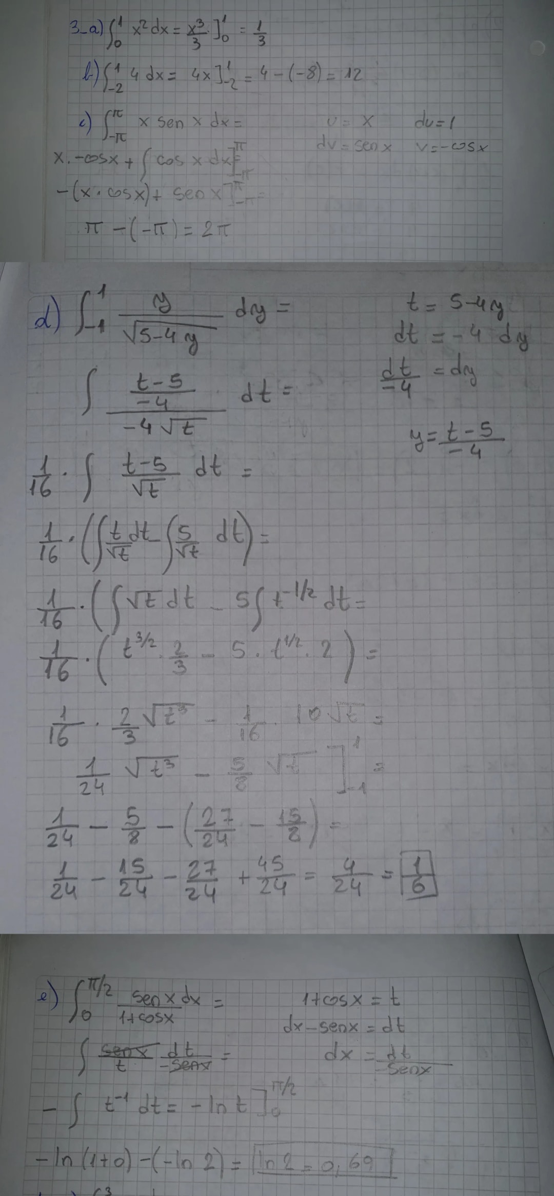
Respuesta 1:Por Lucas Iván Cardozo Respuesta 2:Por Lucas Iván Cardozo Respuesta 3:Por Lucas Iván Cardozo Respuesta 5:Por Lucas Iván Cardozo Respuesta 10:Por Lucas Iván Cardozo
Funciones de varias variables reales
(2025)
Ecuaciones diferenciales de 1° orden
(2025)
Ecuaciones diferenciales de orden superior
(2025)