Tu Amigo FI
Inicio
Materias
Contáctame
Loading...
Cargando
Cargando...
Loading...
Busca tu TP
Análisis Matemático III
TP N°0
(2024)
Respuesta
Por Lucas Iván Cardozo
Página 1
Loading...
Sin respuestas :c
Diferenciales
(2024)
Respuesta
Por Lucas Iván Cardozo
Página 1
Loading...
Respuesta 15:
Por Lucas Iván Cardozo
1 de 1
0
0
|
0
Taylor y Mac Laurin
(2024)
Respuesta
Por Lucas Iván Cardozo
Página 1
Loading...
Sin respuestas :c
Integrales dobles y múltiples
(2024)
Respuesta
Por Lucas Iván Cardozo
Página 1
Loading...
Sin respuestas :c
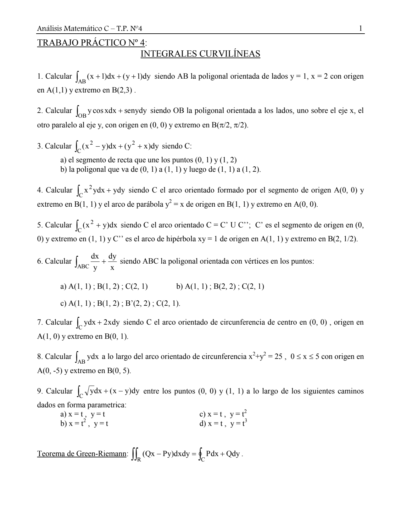
Integrales curvilíneas
(2024)
Respuesta
Por Lucas Iván Cardozo
Página 1
Loading...
Sin respuestas :c
Integrales de superficie
(2024)
Respuesta
Por Lucas Iván Cardozo
Página 1
Loading...
Sin respuestas :c
Análisis vectorial
(2024)
Respuesta
Por Lucas Iván Cardozo
Página 1
Loading...
Sin respuestas :c
Funciones de variable compleja
(2024)
Respuesta
Por Lucas Iván Cardozo
Página 1
Loading...
Sin respuestas :c